早报
必读
名家
学堂
您的位置: hth体育 >华体会体育客服热线 >解套绝招>
很多股民最为关心的问题不是在什么时机和价位买入和卖出某只股票,而关心哪只股票是黑马,哪只股票能成为超级大牛股,哪只股票能够成为涨停股。其实,对于一个技术派交易者
很多股民在进行股票买卖的时候都不太重视进场位置的选择,而对于出场的控制则一无所知,这就是绝大多数股民被套的直接原因。不知道如何选择具体的位置进场,不知道何时了结
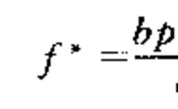
例如:若一个游戏有40%(p=0.40)机会胜出,风险报酬率为2:1(b=2),这个赌客便应每次投注(2×0.40-0.60)/2=10%的资金。凯利公式图解请
凯利公式是一个应用在投机和赌博中的财富最大化公式。经过改良适用于股市投机的凯利公式如下:凯利公式其中,f*=现有资金应进行下次投注的比例,b=风险报酬率,p=胜
复利公式告诉我们财富最大化的三个要领,这是股票投资和投机中都需要遵循的道理:复利公式第一条要领是起始资金要充足,这涉及PV;第二条要领是寻找高收益的资产和交易,
复利公式如下:复利公式FV是总财富,PV是本金,r是财富单位时期或者单次交易的收益率,n则是时期数或者交易次数。从这一公式可以发现,如果单位时期或者是单次交易的
我们都是人,受到外部的影响是不知不觉的,潜意识的力量非常强大,而外部环境往往是通过潜意识作用于表意识,我们经常是环境的奴隶,但是我们并不自知。很多散户之所以处于
巴菲特强调集中持股,但是也是相对集中,他没有将所有的资金都投入一两只股票上。通常而言,内地的散户们都是采用技术分析方法,但是这种方法更多地根据人的心理规律和概率
很多散户今天用KDJ,明天又用布林带,这次做单根据金叉买入,下次做单又是根据超卖卖出。每次做单,采用的策略都不一致,甚至每次买卖采用的策略都存在差异,长期下来绩
1.股市要用闲钱来投资,不要拿养命钱来赌博,所以你要找到一种与自己手头的闲钱数目相匹配的投资方法或者是资金管理方法。2.知道自己可以接受的损失的上限,如果不能接
每个市场有自己的特点,每个品种有自己的特点,每只股票肯定也是不同的;行业不同,板块不同,技术走势不同,带来的风险和收益组合也存在大大小小的差异。更为重要的是,每
知人者智,自知者明。一个成功的股票投资者一定要对自己、对人性有深入的了解和把握,要知道自己的弱点在哪里,自己的缺陷在何处。但是,不少散户却认为成功的投资者之所以
要想成功解套,进而获得股票投资的成功,要做到的第一点就是规避人类的心理弱点。每个股民都想获得丰厚的利润,但是他们为此采取的策略和行动却阻碍了他们取得成功,也就是
人是社会性的动物,比其他动物更容易受到群体的影响。不少股民喜欢到交易大厅凑热闹,听意见,而另外一些股民则喜欢上BBS,到财经网站查看消息和股评,即时通讯设备,比
当一些股民亏损之后,他们往往急切地想要返本。根据资金管理的法则,由于本金已经下降了一些,所以介入的资本也要相应地降低,但是绝大部分散户却在本金下降后增大了持仓的
copyright 2016-2026 hth体育 保留所有权 免责声明:网站部分内容转载至网络,如有侵权请告知删除 友链,商务链接,投稿,广告请联系qq:253161086
hth体育 保留所有权
免责声明:网站部分内容转载至网络,如有侵权请告知删除