早报
必读
名家
学堂
您的位置: hth体育 >股票投资>万能测顶底宝典>
万能测底(顶)公式实例详解 2. 1节我们介绍了万能测底公式 P(H,X) =He—x2+2—x (2.3.1) 为了便于读者阅读理解,本节以沪深个股为实例,图
动点原理应用 在1.11节中我们介绍了不动点原理,即 设X。是不动点,也就是说Xq[ =0.5196301715…]是超越方程 X = e^'x (2.2.2)
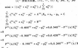
对所有的股票应用0 - 1规划子程序进行选股,就可将以上的多目标模型 转换为“标准”形式。 第一步:编写适当的电脑程序选取适合条件的股票。 第二步:被选取的股票
万能测底(顶)公式赚钱的利器 由于股票市场中个股众多,那么如何才能在如此众多的“选择”中找对个 股,从中获得利润呢?这是任何一个证券投资者都关心和重视的问题。我
测顶方法 设L为某一阶段性低点,对于上升情形,我们把价位(指数、股价、期 价、汇价等)写成 P(L, p) =L(3 (1.14.3) P = kir (1.
测底方法设H为某一阶段性高点,对于下跌情形,我们把价位(指数、股价、期价、汇价等)写成 P(H, p) =Hp (1.14.1) 3 =kir (1.14.2)
第三种情形入的π/2邻域 当指数首次进人X的tπ/2邻域(即1 + arctg( (^-1)/2) < \
我们做等分圆周得到序列tt,tt/2, tt/3, tt/4, tt/6, tt/8, tt/16等, ir/3对应市场中的假突破,其中tt/6和tt/8在反弹
几何三段式 当发现第二次上升幅度比例与第一次上升幅度比例相当时,若第三次上升 创出新高,对于股性比较活跃的个股而言,我们可用几何方法来预测第三次上 升的目标位。
算术三段式当发现第二次上升幅度与第一次上升幅度相当时,若第三次上升创出新 髙,对于股性不太活跃的个股,我们可用算术方法来预测第三次上升的目 标位。 第一次上升幅
波段理论 波浪理论(Elliott Wave Theory)是由美国人R.N.艾略特(RaLPH Nelaon Elliott, 1871 -1948)于20世
圆周率与沪深指数 金融市场是超越数的世界,与超越数和e有着紧密的联系。 黄金分割律是公元前6世纪古希腊数学家毕达哥拉斯所发现,后来古希腊美学家柏拉图将此称为黄金
0 r (1.13.1) 简记为h(X),在计算机教科书中通常写成 h(X) = L*EXP(X^2/2 + \) (1.13.2)1.第一种情形A的3/4邻近
设X是 y = e^-x (1.11.1) 的不动点,即X()[ =0.5196301715…]是超越方程 x=e^-x (1.11.2) 的根。其中自然常数e
动点原理 设xo是 y=e^-x^2/2=x的不动点,即xo[ =0. 5196301715...是超越方程的根。其中自然常数e =2.718281828459
copyright 2016-2026 hth体育 保留所有权 免责声明:网站部分内容转载至网络,如有侵权请告知删除 友链,商务链接,投稿,广告请联系qq:253161086
hth体育 保留所有权
免责声明:网站部分内容转载至网络,如有侵权请告知删除